极大似然函数取对数的原因
1 减少计算量
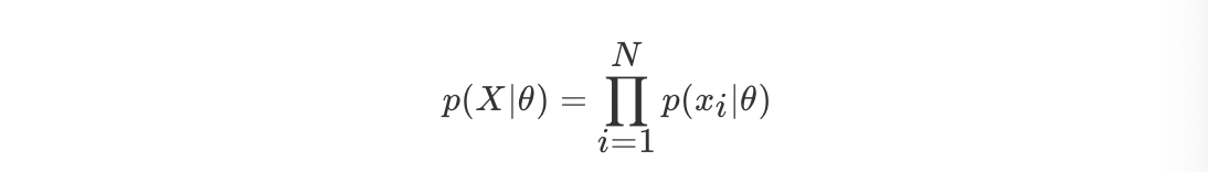
在计算一个独立同分布数据集的联合概率时,如:

其联合概率是每个数据点概率的连乘:

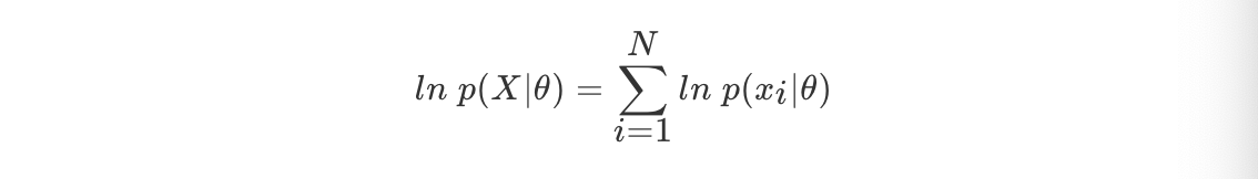
两边取对数则可以将连乘化为连加:

乘法变成加法,从而减少了计算量;
同时,如果概率中含有指数项,如高斯分布,能把指数项也化为求和形式,进一步减少计算量;
另外,在对联合概率求导时,和的形式会比积的形式更方便。
2. 利于结果更好的计算
但其实可能更重要的一点是,因为概率值都在[0,1]之间,因此,概率的连乘将会变成一个很小的值,可能会引起浮点数下溢,尤其是当数据集很大的时候,联合概率会趋向于0,非常不利于之后的计算。
3. 取对数并不影响最后结果的单调性

因为相同的单调性,它确保了概率的最大对数值出现在与原始概率函数相同的点上。因此,可以用更简单的对数似然来代替原来的似然。
